国家级青年人才,山东省青年科技人才托举工程入选者,山东大学杰出中青年学者,山东大学齐鲁青年学者
电子邮箱:
颜卓程,山东大学集成电路学院教授、博士生导师,国家级青年人才,山东省青年科技人才托举工程入选者,山东大学杰出中青年学者,山东大学齐鲁青年学者。本科和博士均毕业于电子科技大学,曾在加州大学洛杉矶分校(UCLA)担任访问学者,主要研究方向为柔性无机薄膜晶体管与柔性无机传感器。相关成果已获得美国发明专利1项、中国发明专利12项、软件著作权2项。在论文方面,至今共发表SCI论文20余篇,引用600余次,代表性论文包括:Science(独立一作),Advanced Materials(独立一作),Advanced Science(独立一作),ACS Applied Materials &Interfaces(独立一作),Nano Research(独立一作)等,研究成果被WEST可穿戴电子、研之成理等权威公众号报道,2024年获得英国皇家化学学会RSC Horizon Prize奖项;担任ACS Applied Materials & Interfaces等国际期刊的审稿人,担任山东电子学会青年科学家工委会会员,多次受邀在国内外学术会议上作主题报告。近年来主持了国家级青年人才项目、国家自然科学基金青年基金、广东省基础与应用基础研究基金自然科学基金面上项目、江苏省基础研究专项资金青年基金、山东省自然科学基金青年基金、山东大学齐鲁青年学者项目、中国博士后科学基金和企业横向课题等多个科研项目。
主要论文
[1]. Xuemei Yin, Qindong Guo, Xingqi Ji, Xiaoqian Li, Hao Xue, Qian Xin, Jiawei Zhang, Zhuocheng Yan*, Aimin Song*, Paper-based degradable, label-free microRNA sensing platform based on oxide thin-film transistor arrays, Biosensors and Bioelectronics (IF= 10.5), 2025, 117291.
[2]. Xuemei Yin, Xingqi Ji, Wenlong Liu, Xiaoqian Li, Mingyang Wang, Qian Xin, Jiawei Zhang, Zhuocheng Yan*, Aimin Song*, Electrolyte-gated amorphous IGZO transistors with extended gates for prostate-specific antigen detection, Lab on a chip, 2024, 3284-3293.
[3]. Zhuocheng Yan, Dong Xu, Zhaoyang Lin, Peiqi Wang, Bocheng Cao, Huaying Ren, Frank Song, Chengzhang Wan, Laiyuan Wang, Jingxuan Zhou, Xun Zhao, Jun Chen, Yu Huang*, Xiangfeng Duan*. Highly stretchable van der Waals thin films for adaptable and breathable electronic membranes, Science (IF= 63.714), 2022, 852-859.
[4]. Zhuocheng Yan, Yuting Liu, Jian Xiong, Bin Wang, Lingliang Dai, Min Gao, Taisong Pan, Weiqing Yang, Yuan Lin*. Hierarchical Serpentine‐Helix Combination for 3D Stretchable Electronics, Advanced Materials (IF= 32.086), 2023: 2210238.
[5]. Zhuocheng Yan, Taisong Pan, Miaomiao Xue, Changyong Chen, Yan Cui, Guang Yao, Long Huang, Feiyi Liao, Wei Jing, Hulin Zhang, Min Gao, Daqing Guo, Yang Xia, Yuan Lin*. Thermal Release Transfer Printing for Stretchable Conformal Bioelectronics, Advanced Science (IF= 16.806), 2017, 1700251.
[6]. Zhuocheng Yan, Taisong Pan*, Dengke Wang, Jiacheng Li, Long Jin, Long Huang, Jiahao Jiang, Zhihui Qi, Hulin Zhang, Min Gao, Weiqing Yang, Yuan Lin*. Stretchable Micromotion Sensor with Enhanced Sensitivity Using Serpentine Layout, ACS Applied Materials & Interfaces (IF= 10.383), 2019, 12261.
[7]. Zhuocheng Yan, Jian Xiong, Bin Wang, Min Gao, Guangqiang Yin, Tao Hu, Taisong Pan, Xinzhong Wang*, and Yuan Lin*. Recent advances in breathable electronics, Nano Research (IF= 10.269), 2022, 1-13.
[8]. Zhuocheng Yan, Shangjie Zhang (co-first author), Min Gao,* Zheng Zhu, Jiacheng Li, Zhenlong Huang, Taisong Pan, Tao Hu, Qiang Li, Xinzhong Wang, Yuan Lin*. Ultrasensitive and Wide-Range-Detectable Flexible Breath Sensor Based on Silver Vanadate Nanowires, ACS Applied Electronic Materials, 2023.
[9]. Zhuocheng Yan, Taisong Pan (co-first author), Guang Yao, Feiyi Liao, Zhenlong Huang, Hulin Zhang, Min Gao, Yin Zhang, Yuan Lin*. Highly stretchable and shape-controllable three-dimensional antenna fabricated by “Cut-Transfer-Release” method, Scientific Reports , 2017, 7, 42227.
成果展示
1. 面向特异性抗原检测的电解质拓展栅晶体管生物传感器
研发了一种用于前列腺特异性抗原(PSA)快速高灵敏检测的生物传感器芯片,该传感器由电解质栅控非晶态氧化铟镓锌(a-IGZO)晶体管和拓展栅组成。这种传感器展现了快速响应(检测时间约5.1秒)、低工作电压(<2伏)以及高灵敏度(检测限达到400阿克摩尔/毫升)的特性,能在五个数量级的抗原浓度范围内提供精准的线性响应。其中创新的拓展栅结构设计,能够有效避免生物分子缓冲液对晶体管沟道的直接接触,从而提高了传感器的稳定性和重复使用性。这项研究有望为前列腺癌的早期筛查和诊断,以及其他生物标志物的检测提供新的路径。
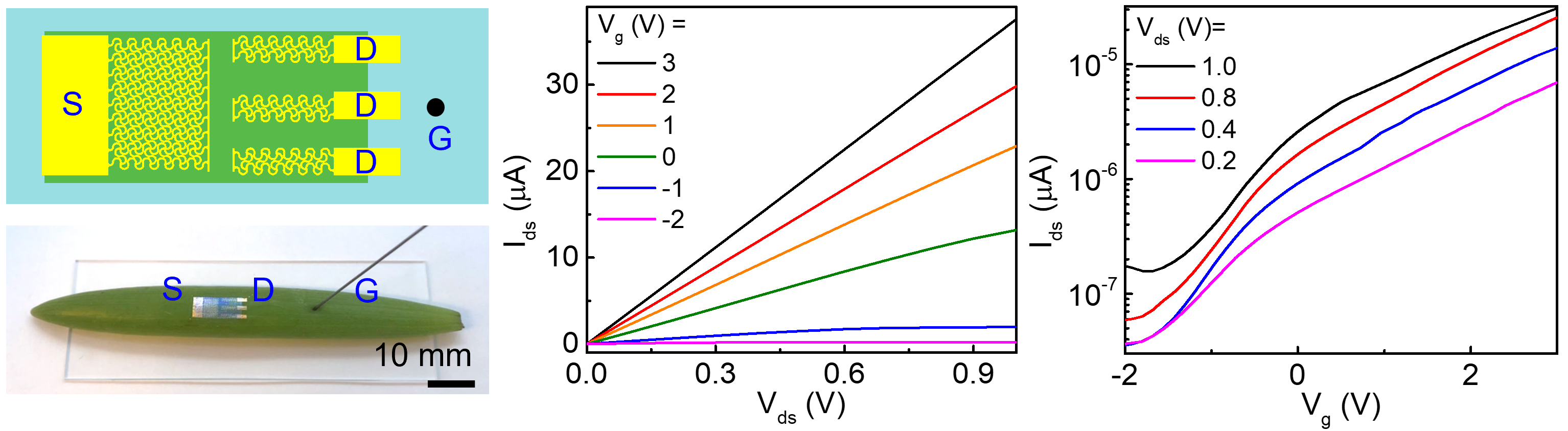
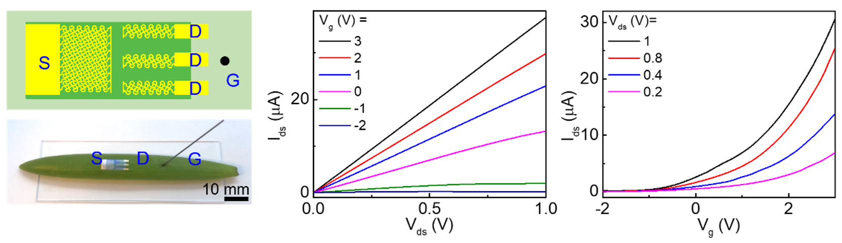
2. 基于独立式范德华电子薄膜的叶珊和皮栅晶体管

图1 所研发的树叶栅极晶体管器件及其性能

图2 所研发的皮肤栅极晶体管器件及其性能
独立式的二维范德华电子薄膜,由具有无键范德华界面的交错二维纳米片组成。这些纳米片之间具有一定的滑动和旋转自由度,确保了二维范德华电子薄膜的机械拉伸性和延展性;由于纳米通道渗透网络的存在,该薄膜也具有渗透性和透气性。该薄膜与软生物组织具有良好的机械匹配,可以自然地适应生物体的局部表面形貌,从而与生物体进行无缝融合,使生物体具有电子功能。目前已经实现了包括叶珊晶体管和皮肤栅极晶体管在内的多种生物基电子器件。其中,皮肤栅极晶体管能够高保真监测和放大人体的电生理信号。
3. 用于三维可延展电子的层次化多级三维蛇形-螺旋组合结构设计

图3 所研发的螺旋电子器件及性能
受肌腱层次结构的启发,提出了一种层次化多级三维蛇形-螺旋组合结构设计。 该结构由重复的小单元以螺旋方式绕轴缠绕的序列构建而成,可以将大的机械力传递到更小的尺度,并通过微尺度屈曲消散潜在的破坏性应力,从而赋予由高性能且难以拉伸的材料构成的电子器件在x、y或z轴方向的高度可延展性(≥200%),高的结构稳定性和优异的机电性能。该工作展示了包括无线充电贴片和表皮电子系统在内的两个应用。结果表明,由多个层次化多级三维蛇形-螺旋组合构成的表皮电子系统,可以高保真地在手指上监测电生理信号、皮肤电响应和手指运动引起的电信号,结合人工神经网络可以实现良好的触觉模式识别。
4. 用于ECoG信号采集的可延展柔性生物电子集成器件

图4 所研发的皮肤栅极晶体管器件及其性能
利用热释放转印方法,成功地在PDMS基底上制备了可延展柔性生物电极阵列,并利用该器件研究了麻醉状态下SD雄性大鼠的稳态视觉诱发电位响应。通过一系列的弯曲试验和理论计算,得到了可延展神经电极与SD雄性大鼠的硬脑膜形成共形接触的临界PDMS基底厚度。在进一步的生物实验中,经过优化设计的可延展生物电极探测到了良好的ECoG信号和高质量的SSVEP响应,印证了该电极与生物体组织形成共形接触的重要性。
5. 基于可延展压电传感器的语音识别系统

图5 所研发的基于PVDF蛇形网状压电薄膜制备了微应变传感器件及性能
基于PVDF蛇形网状压电薄膜制备了微应变传感器,该传感器可以很好的贴合人体的下颚,将人体说话时下颚的微应变通过压电效应转化为电信号。传感器连到无线数据采集电路,可以将模拟电信号转化为数字电信号,并且传输到手机APP进行显示。由于微应变诱导的声音波形的具有可识别性,因此结合机器学习方法,对受试者发声的25个单词实现了语音识别。
6. 基于钒酸银纳米线的超灵敏、宽范围的柔性呼吸传感器

图6 所研发的基于钒酸银纳米线的超灵敏、宽检测范围的柔性呼吸传感器件及其性能
通过水热法制备钒酸银纳米线,将纳米线转移到插指电极上,完成呼吸传感器的制备。传感器与呼吸暂停监测电路相连接:传感器在受试者呼吸时产生电阻变化信号,经过电路放大,模数转换,最终在单片机进行处理识别。电路中的LED可在停止呼吸时点亮,最终实现了呼吸暂停报警功能。
山东大学集成电路学院  ,教授(博导)
电子科技大学  ,博士后
加州大学洛杉矶分校  ,访问学者
电子科技大学  ,博士
电子科技大学  ,学士
| 类别 | 专业 | 简介 | 人数 | 年份 |
|---|---|---|---|---|
|
博士研究生招生 |
微电子、集成电路、通信工程、电子信息材料等相关专业 |
本课题组每年计划招收硕士研究生2-3名,博士研究生1-2名,常年招聘研究助理、博士后。本课题组与电子科技大学、加州大学洛杉矶分校、中国电子科技集团公司第五十四研究所等顶尖高校科研院所进行合作课题研究,欢迎微电子、集成电路、通信工程、电子信息材料等相关专业的同学报考! |
2 |
2026 |
|
硕士研究生招生 |
微电子、集成电路、通信工程、电子信息材料等相关专业 |
本课题组每年计划招收硕士研究生2-3名,博士研究生1-2名,常年招聘研究助理、博士后。本课题组与电子科技大学、加州大学洛杉矶分校、中国电子科技集团公司第五十四研究所等顶尖高校科研院所进行合作课题研究,欢迎微电子、集成电路、通信工程、电子信息材料等相关专业的同学报考! |
3 |
2026 |
| 名称 | 简介 |
|---|---|
|
柔性无机薄膜晶体管与柔性逻辑器件 |
在柔性基底上制备高性能铟镓锌氧化物(IGZO)和溶液法纯相二硫化钼(MoS₂)薄膜晶体管,器件展现出优异的电学性能。基于柔性TFT构建反相器、多输入NAND门、传输门、2-4译码器及多路复用器等,实现模拟信号的原位放大与传感矩阵的行列式数据读取。 |
|
柔性无机传感器 |
基于柔性可延展结构设计构建微电子器件,包括两类功能模块:一是多模态传感器,用于体温、触觉及电生理信号等多种生理参数的检测;二是电容、电感、天线与致动器等无源器件,用于无线LC谐振传感及力-电刺激等应用。 |
| 项目名称 | 项目周期 |
|---|---|
|
山东省青年科技人才托举工程 |
|
|
国家自然科学基金青年科学基金项目 |
|
|
广东省基础与应用基础研究基金自然科学基金面上项目 |
|
|
江苏省基础研究专项资金青年基金 |
|
|
山东省自然科学基金青年基金项目 |
|
|
山东大学齐鲁青年学者项目 |
|
|
柔性可延展超分辨率多模感知技术研究与样机研制 |
2024-08-09,2024-12-31 |
|
n 型氧化物薄膜晶体管阵列 |
2024-08-09,2024-12-31 |