
Supervisor of Doctorate Candidates
Supervisor of Master's Candidates
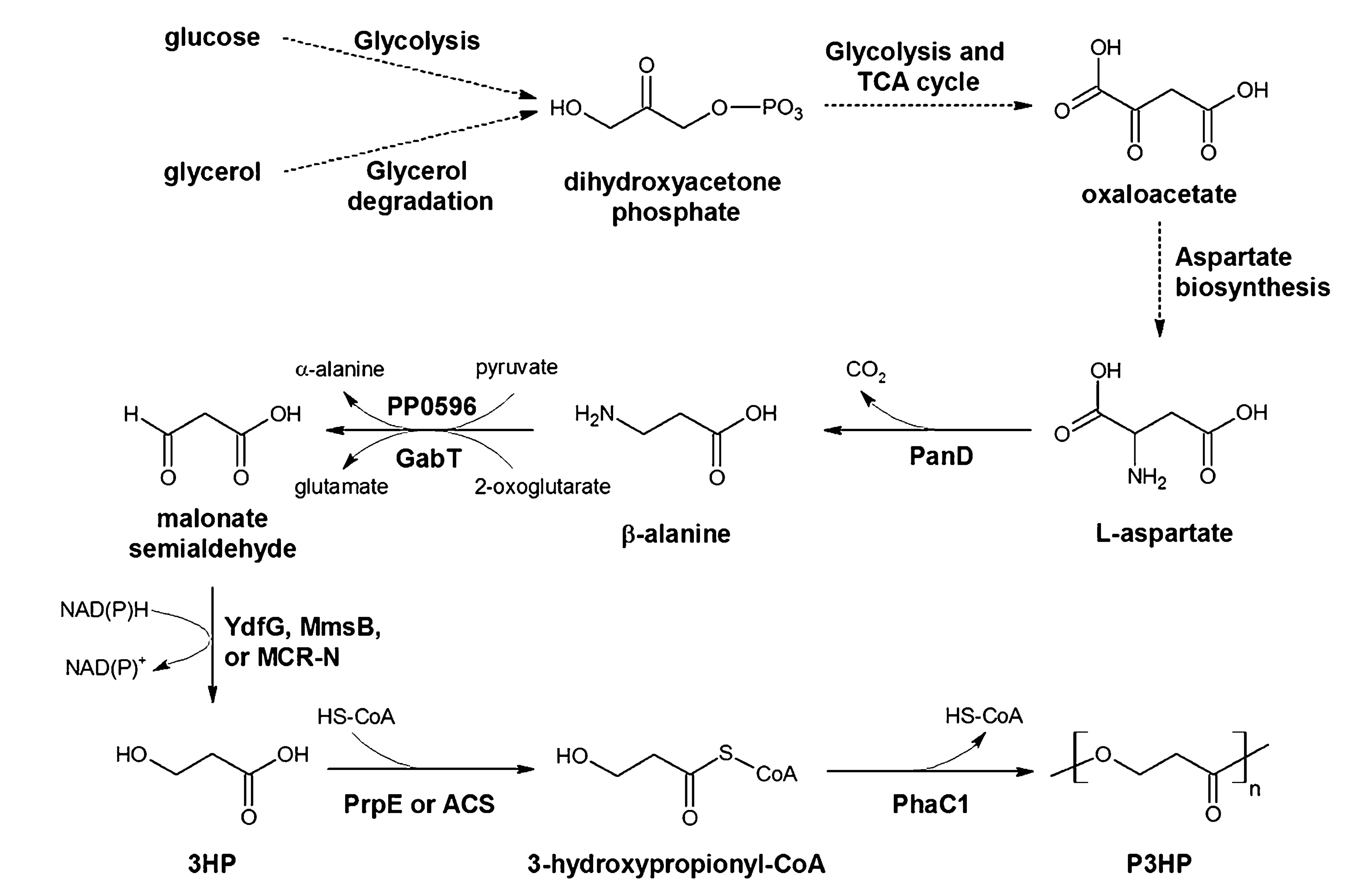
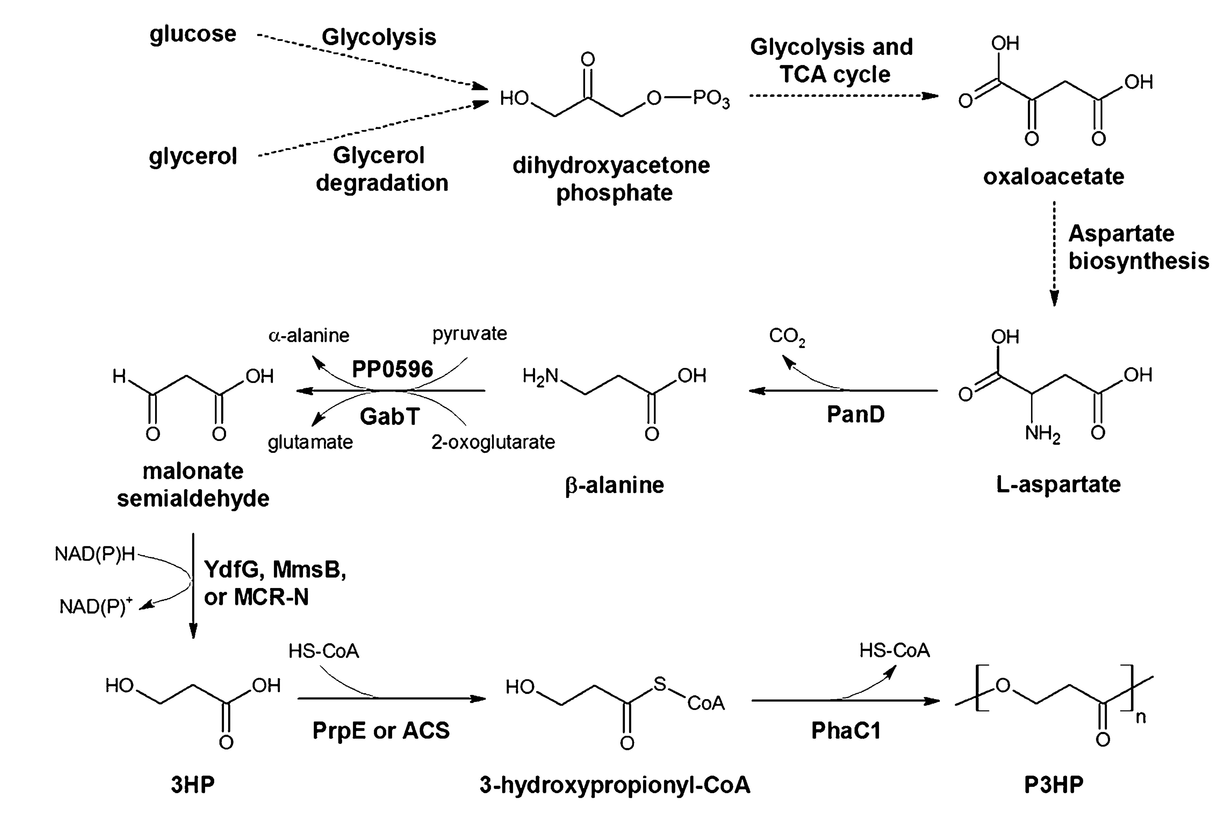
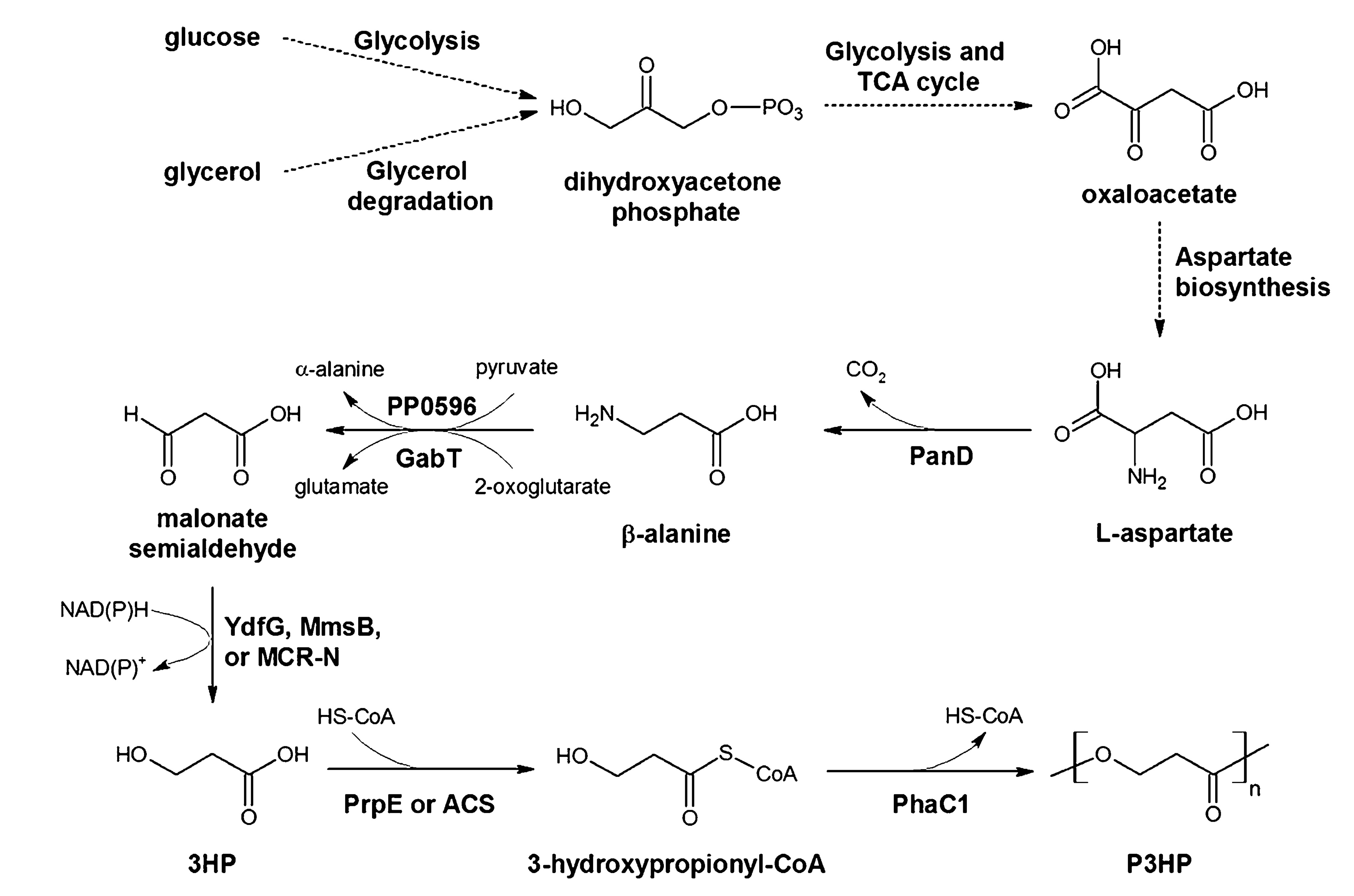
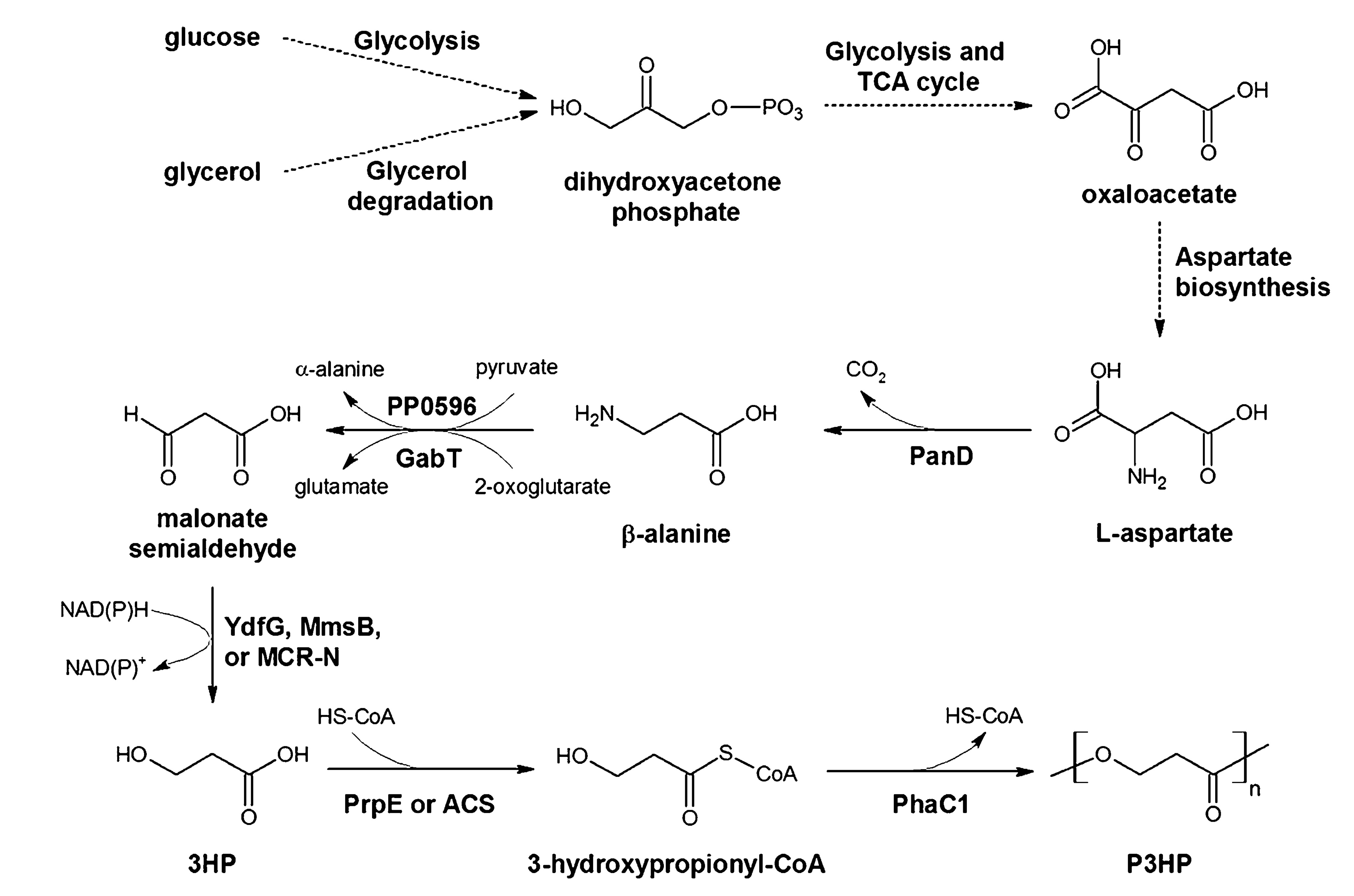
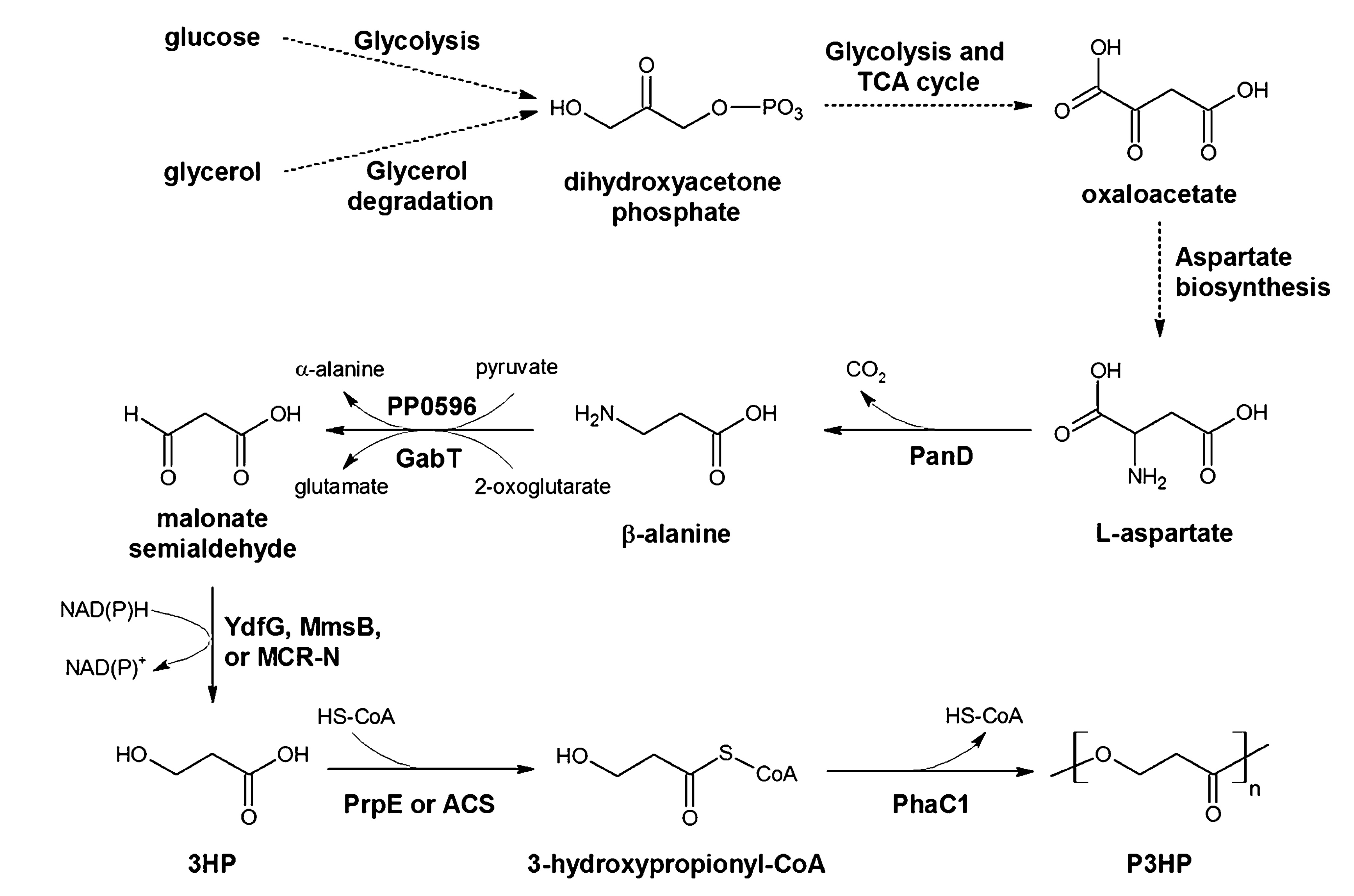
Title of Award : Metabolic engineering of Escherichia coli for poly (3-hydroxypropionate) production from glycerol and glucose
Hits :
Title of Paper:Metabolic engineering of Escherichia coli for poly (3-hydroxypropionate) production from glycerol and glucose
Journal:Biotechnol Lett
Correspondence Author:赵广
Indexed by:Journal paper
Volume:36
Issue:11
Page Number:2257-62
Translation or Not:No
Date of Publication:2014-07
Included Journals:SCI
Release Time:2020-01-09
The Last Update Time : ..