[本站讯]集成电路学院王以林教授团队首次在范德华异质结FePS3/ Fe3GaTe2中发现温度依赖的交换偏置极性反转现象,相关成果以“Polarity-reversal of Exchange Bias in van der Waals FePS3/Fe3GaTe2 Heterostructures”为题发表于中科院一区期刊Advanced Science。
交换偏置(EB)效应是开发超高密度磁存储和高灵敏度自旋电子器件的核心原理之一,自发现以来便备受关注。范德华反铁磁/铁磁异质结可实现原子尺度高质量界面,为研究交换偏置效应提供了理想的平台。迄今为止,在大多数范德华异质结中,交换偏置效应表现出较低的阻塞温度(Tb),交换偏置场(HEB)随温度升高单调减小的特点。

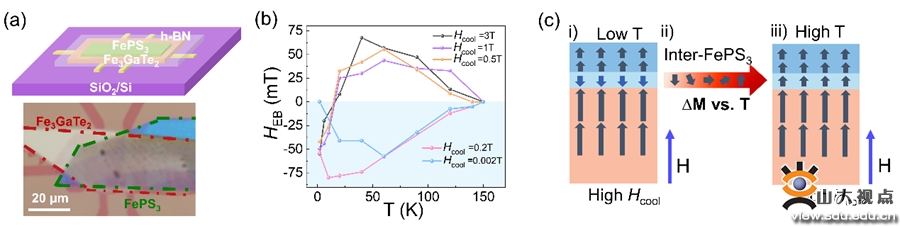
王以林教授团队成功构建了FePS3/Fe3GaTe2异质结,观测到强EB效应,界面处为反铁磁耦合,Tb高达150 K。特别地,EB效应表现出不同寻常的温度依赖的极性反转行为。在合适的大正场冷条件下(|μ0H | ≥ 0.5 T):低温下,观察到负HEB,随着温度的升高,在~20 K时,HEB减小为零;继续升高温度,HEB转变为正,并在Tb处再次趋于零。为阐明交换偏置的极性反转机制,团队提出top-FePS3/interfacial-FePS3/Fe3GaTe2三明治模型。Fe3GaTe2(金属)向FePS3(绝缘体)转移电荷,在FePS3层中诱导产生了净磁矩(∆M),且interfacial-FePS3层的∆M方向对EB效应的极性反转起关键性作用。∆M方向由interfacial-FePS3/Fe3GaTe2的界面交换耦合能量、FePS3层中top-FePS3与interfacial-FePS3的层间磁相互作用以及Zeeman能量之间的竞争决定。此外,由于Fe3GaTe2的巡游铁磁性和单磁畴特点,该体系的EB效应可以在微米尺度上进行横向传递。
该工作为理解范德华异质结构中的交换偏置效应提供了新的见解,并为构建新型的自旋逻辑器件(如磁电自旋轨道(MESO)逻辑)提供了建设性思路和途径。集成电路学院博士生肖寒、吕兵兵助理研究员为共同第一作者,集成电路学院王以林教授、刘敏副教授、晶体材料研究所王善朋教授和上海科技大学物质科学与技术学院郭艳峰教授为共同通讯作者。该研究工作得到了国家自然科学基金、科技部重点研发计划、山东省自然科学基金、广东省量子科学战略专项、国家资助博士后研究人员计划等项目的资助。