[本站讯]氮化镓(GaN)材料因其禁带宽度大、电子饱和漂移速度高、击穿电场高、热导率高等优点,在高温、高压、大功率、微波器件等领域展现出巨大的发展潜力。近日,山东大学新一代半导体材料研究院崔鹏教授、韩吉胜教授团队研发出一种具有晶态氮化硅(SiN)帽层的新型GaN高电子迁移率晶体管(HEMT),相比于传统器件,该器件饱和电流和击穿电压分别提升了41%和30%。相关成果以“Enhanced device performance of GaN high electron mobility transistors with in-situ crystalline SiN cap layer”为题在器件权威期刊Applied Physics Letter上在线发表。山东大学博士研究生罗鑫为该论文第一作者,崔鹏教授和韩吉胜教授为通讯作者,山东大学为独立完成单位。


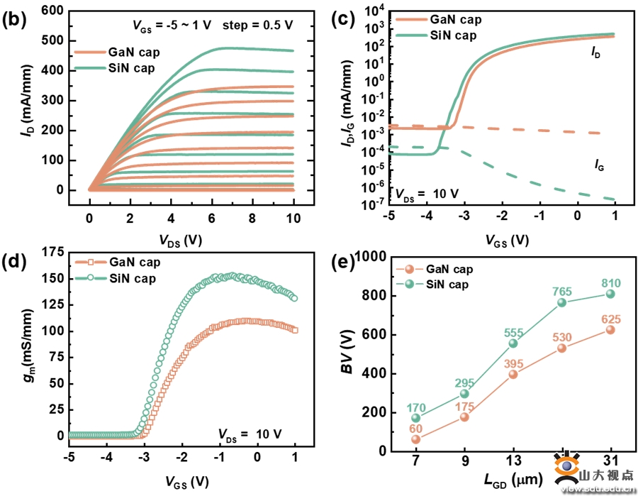
栅介质层是场效应晶体管的重要组成部分,常规栅介质层以氧化物或氮化物非晶材料为主,这导致非晶介质层和单晶半导体之间很难形成原子层级的平坦界面,从而产生大量的界面电荷,对器件的关态漏电、输出电流、击穿电压和可靠性等产生巨大影响。由于栅介质层和沟道半导体材料之间大的晶格失配和热失配,使得栅介质层的单晶生长成为一直以来的难题。针对该问题,团队利用原位生长技术,首次在AlGaN势垒层上生长出2nm晶态SiN帽层,实现了GaN器件上单晶介质层生长技术的突破。通过HRTEM、XPS等多种表征手段确定所生长的SiN晶体结构为缺陷纤锌矿结构(DW-SiN),其与AlGaN具有更加优异的界面质量,有效地将界面态密度降低1个数量级。与传统器件相比,具有晶态SiN帽层的GaN器件表现出更高的电子迁移率(1552cm2/V∙s,提高21%)、更大的输出电流(493 mA/mm,提高41%)、更大的开关电流比(7.29×106,提高1个量级)以及更高的跨导(152 mS/mm,提高38%)。得益于优异的界面特性和单晶质量,该SiN单晶生长技术有效地抑制了器件中的尖峰电场分布,成功地将GaN器件的击穿电压从625V提升到810V,实现了30%的提高。此外,SiN采用原位生长,可省略器件制备中的介质层沉积工艺,从而简化工艺流程,节约生产成本。这种晶态SiN介质层生长技术,显著提高了器件的输出电流和击穿电压,降低了器件的生产成本,在GaN功率开关和高功率微波等领域具有重要的应用潜力。
崔鹏教授、韩吉胜教授团队主要开展氮化镓、碳化硅等宽禁带半导体器件制备与研究,该工作得到了国家重大科技任务、山东省重大科技创新工程、国家自然科学基金、山东省优秀青年科学基金(海外)、山东省自然科学基金、山东大学杰出中青年学者等项目的支持。