Paper Publications
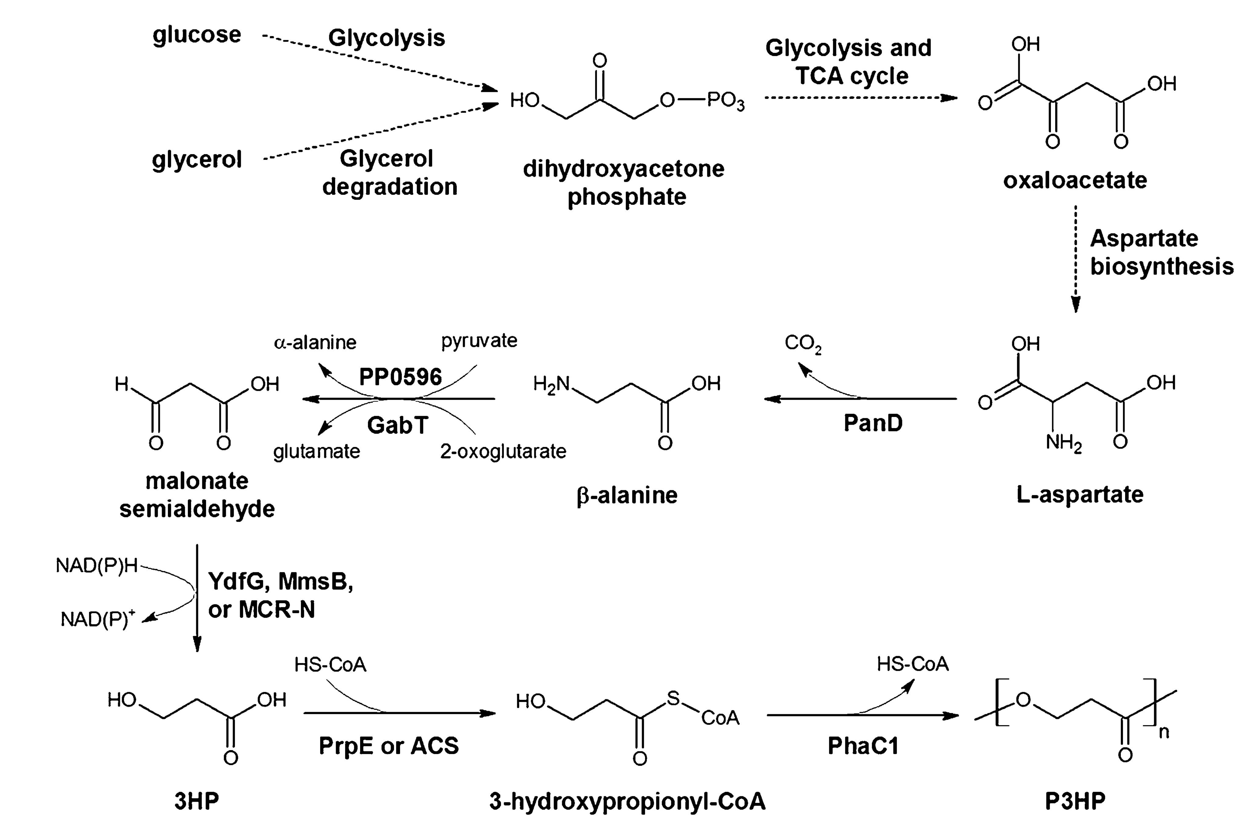
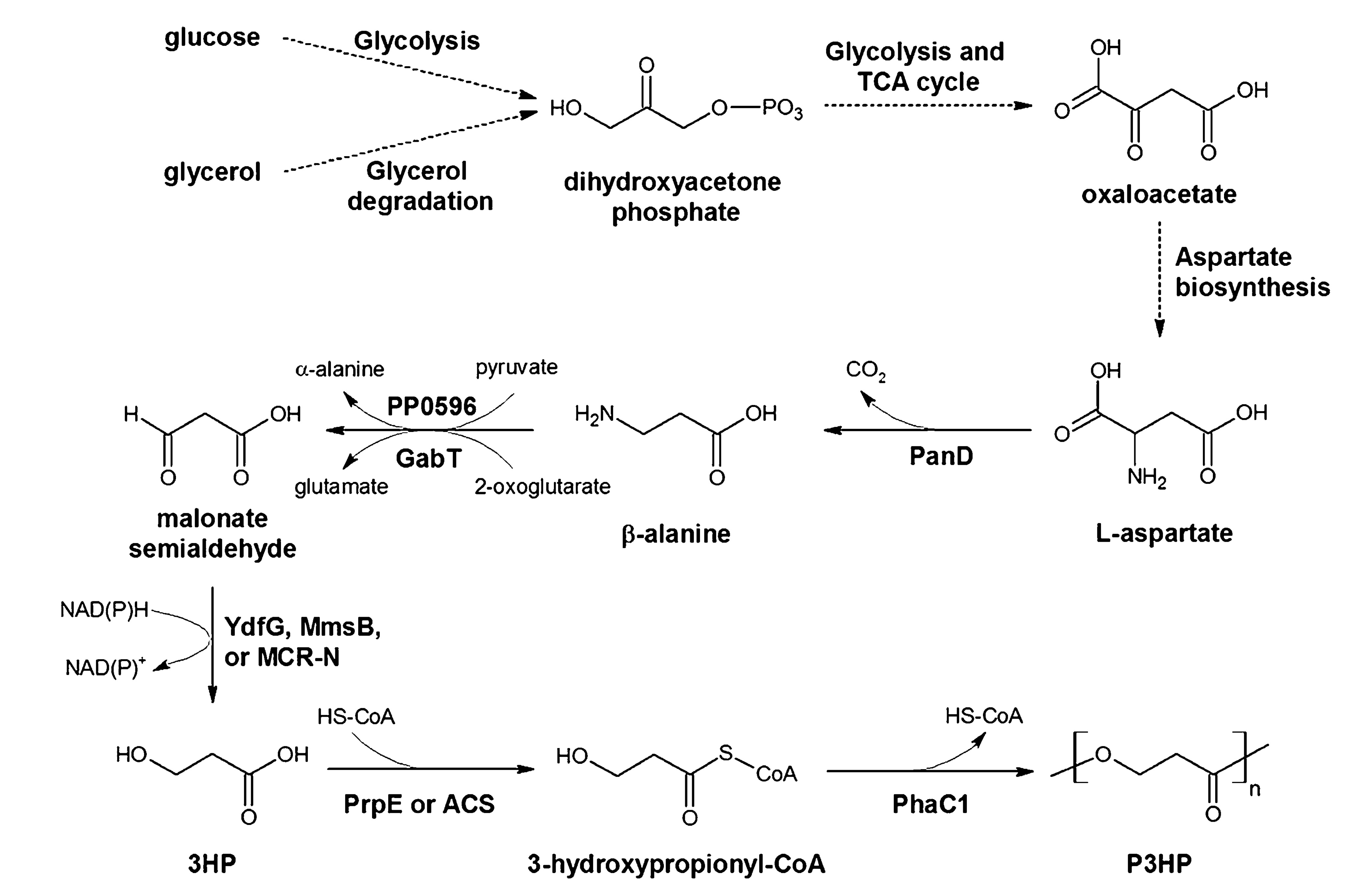
Metabolic engineering of Escherichia coli for poly (3-hydroxypropionate) production from glycerol and glucose
Release Time:2020-01-09

-
Journal:
Biotechnol Lett
-
Correspondence Author:
赵广
-
Volume:
36
-
Issue:
11
-
Page Number:
2257-62
-
Translation or Not:
No
-
Date of Publication:
2014-07
-
Included Journals:
SCI