VPco3njF5ALYIm1BieGqZkpv3HiVGG7nwbB7NG4ZNShgog6NDyH7suiPwRaP

扫描手机二维码

欢迎您的访问
您是第 位访客

开通时间:..

最后更新时间:..

  • 赵文举 ( 副教授 )

    个人主页 https://faculty.sdu.edu.cn/zhaowenju/zh_CN/index.htm

  •   副教授   博士生导师   硕士生导师
教师博客 当前位置: 中文主页 >> 教师博客
动态弹性力学方程的混合元方法
点击次数:
博客标题:动态弹性力学方程的混合元方法
内容:

一、模型

弹性力学研究固体材料在外力作用下的变形和应力分布。当问题涉及随时间变化的外力或初始扰动时,我们需要考虑动态弹性力学方程,也称为弹性波方程。这类方程广泛应用于地震波传播模拟、超声波成像、结构动力学以及冲击响应分析等领域.

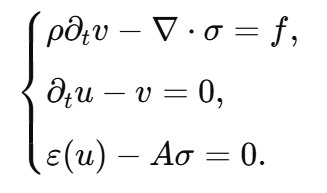
在一个区域 Ω⊂Rd上,控制方程为

模型1.png


二、时间–空间混合元模型

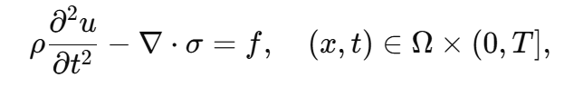
1. 时间一阶化

原方程是二阶时间系统。为了便于数值求解和能量分析,我们引入新的变量 速度 v=∂_tu。这样,系统可以改写为一阶形式:

模型2.png

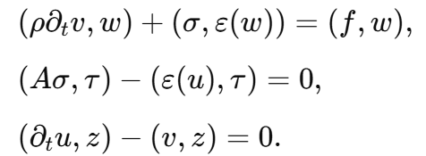
2. Hellinger–Reissner 变分形式

为了在有限元框架下处理位移和应力,我们采用 Hellinger–Reissner 变分原理。该原理同时引入位移 u 与应力 σ作为独立未知量,建立如下弱式:

模型3.png


三、Arnold–Winther (AW) 基底与空间离散

Arnold–Winther (AW) 元是一类专为 对称应力张量 构造的 H(div)-保守有限元空间。其主要特点是:

  • 应力近似是对称的;

  • 应力的散度属于位移空间,从而保证混合形式的稳定性;

  • 在二维最低阶AW0 元中,自由度包括顶点应力值、边上法向分量矩,以及若干内部矩。

这种构造避免了传统位移元中应力精度不足的问题,是弹性混合有限元方法的核心。


四、Cook's Membrane 算例介绍

Cook 膜问题最早由 Robert D. Cook 在 提出,是一个典型的二维薄板受力算例。几何区域是一个梯形薄膜

  • 左边界竖直并固定(全约束),

  • 右边界为一条斜线,向上逐渐变宽,

  • 高度通常取 44,左宽 16,右宽 48

区域形状类似一个向右张开的梯形膜。

数值结果如下:

cook.png

动态变化过程,如下:

弹性力学方程.gif








发布时间:2025-09-17
版权所有   ©山东大学 地址:中国山东省济南市山大南路27号 邮编:250100 
查号台:(86)-0531-88395114
值班电话:(86)-0531-88364731 建设维护:山东大学信息化工作办公室