hPVkBgOuRm8TbRUY8OJlaZZ1Rxr9RNhtyxbkxc8dnyE4w7QFPSjclGN2RgSm

扫描手机二维码

欢迎您的访问
您是第 位访客

开通时间:..

最后更新时间:..

  • 赵文举 ( 副教授 )

    个人主页 https://faculty.sdu.edu.cn/zhaowenju/zh_CN/index.htm

  •   副教授   博士生导师   硕士生导师
教师博客 当前位置: 中文主页 >> 教师博客
界面与自由边界问题的新型间断捕捉神经网络
点击次数:
博客标题:界面与自由边界问题的新型间断捕捉神经网络
内容:



题目: Discontinuous extreme learning machine for interface and free boundary problems.

             J. Comput. Phys. 541 (2025), Paper No. 114329.


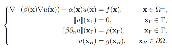
一、模型:

界面问题模型.png



二、神经网络结构

神经网络结构.png

三、算法


算法.png


四,界面问题

elliptic.png


elliptic-2.png


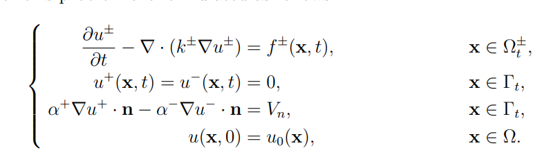
五、Stenfan 模型

stenfan.png


stefan-2.png





发布时间:2025-09-17
版权所有   ©山东大学 地址:中国山东省济南市山大南路27号 邮编:250100 
查号台:(86)-0531-88395114
值班电话:(86)-0531-88364731 建设维护:山东大学信息化工作办公室