8IhIqElq1Dtme12BvNfJvGL2LAPV4Ywd3d2mAToo2nU11JUEx1zscbfSB4Hg

扫描手机二维码

欢迎您的访问
您是第 位访客

开通时间:..

最后更新时间:..

  • 赵文举 ( 副教授 )

    个人主页 https://faculty.sdu.edu.cn/zhaowenju/zh_CN/index.htm

  •   副教授   博士生导师   硕士生导师
教师博客 当前位置: 中文主页 >> 教师博客
三相流模型约束的时间节点切换优化控制
点击次数:
博客标题:三相流模型约束的时间节点切换优化控制
内容:

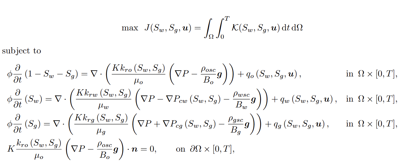
一、模型


模型一.png



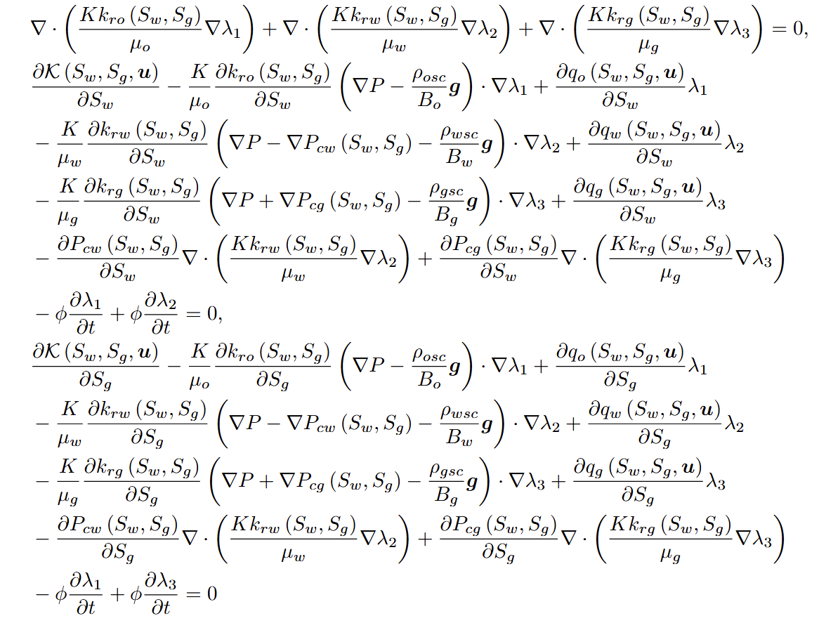
二、对偶模型


共轭方程.png



二、间断元模拟结果


例一、



water_phase_saturation_hom.gif

gas_phase_saturation_hom.gif



例二、


water_phase_saturation_SPE10.gif

gas_phase_saturation_SPE10.gif




发布时间:2025-09-17
版权所有   ©山东大学 地址:中国山东省济南市山大南路27号 邮编:250100 
查号台:(86)-0531-88395114
值班电话:(86)-0531-88364731 建设维护:山东大学信息化工作办公室